![]() |
В. И. ЕЛИСЕЕВ ВВЕДЕНИЕ В МЕТОДЫ ТЕОРИИ
ФУНКЦИЙ ПРОСТРАНСТВЕННОГО КОМПЛЕКСНОГО ПЕРЕМЕННОГО |
|
10.12. Гравитационное взаимодействие в комплексном пространстве-времени. Структура эфира.
Взаимодействие гравитационных масс происходит через общее изолированное направление. В результате образуется структура более высокой размерности. Изолированное направление характеризуется сингулярностью по комплексному аргументу
arktgi.Уравнения Максвелла дают следующие выводы:
Электромагнитное взаимодействие распространяется со скоростью света. Электрические Е и магнитные В поля перпендикулярны друг другу.
Скалярная величина
В любой системе координат преобразованные поля
Световая волна в любой системе координат остается световой волной.
По законам комплексной алгебры инвариантная величина может быть последовательно преобразована

Световая волна следовательно может быть выражена в виде
![]()
Изолированное направление образуется при условии
![]()
Электрическая Е и магнитная В составляющие волны взаимно перпендикулярны, равны по величине и исходят из разных точек окрестности источника, повернутых относительно друг друга на угол
При переходе к четырехмерному пространству электромагнитная гравитационная волна описывается также по законам пространственной комплексной алгебре в виде

Если составляющие гравитационного поля равны
![]()
Гравитационная электромагнитная полевая энергия в своей структуре имеет изолированное направление (в теоретической физике это соотносится к понятиям из теории струн). Составляющие гравитационной энергии поля находятся во взаимно перпендикулярных пространствах, которые в источнике этих энергий имеют разные точки, повернутые относительно друг друга на угол
Количественная величина энергии, ее плотность определяются энергией обменного кванта (в широком понятии: поля, эфира и т.д.), выделяемого взаимодействующими частицами для образования более сложной структуры.
В простейшем случае имеем
![]()
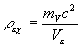
Откуда полевая энергия взаимодействия двух гравитационных масс может быть вычислена по формуле
|
|
10.12.1 |
Объем пространства взаимодействия можно в первом приближении оценить по радиусу взаимодействия
r![]()
Если распределить величину энергии обменного поля на этот объем, то получим плотность эфира ( другого более емкого слова подобрать не удается).
|
|
10.12.2. |
При взаимодействии вся плотность сосредотачивается в изолированном
, тогда объем туннеля взаимодействия равен 
Плотность энергии в туннеле взаимодействия равна

Отношение плотности энергии в
|
|
10.12.3. |
Образование новой структура вызывает переход системы взаимодействующих частиц в связанное пространство большего числа измерений и поэтому сопровождается мгновенной скоростью. Пространство квантуется с мгновенной скоростью, так что с этих позиций Ньютон был прав. На следующем этапе взаимодействия происходит перераспределение энергии в
Энергетическая обменная масса, которая более емким словом может трактоваться как эфир, также имеет двойственный характер. При переходе в новое связанное пространство энергия эфира сосредотачивается в туннелях взаимодействия и оказывает сопротивление структурной перестройки. Плотность энергии в
Исследование решений уравнений ОТО А. Эйнштейна и уравнений РТГ А. Логунова направлены на исследования структуры гравитационного взаимодействия. Введение в уравнения А. Эйнштейна космологической постоянной
Так как, это означает, что взаимодействие вызывает рост размерности пространства –формирование новой структуры. Таким образом, энергия полевого обменного кванта учитывается введением дополнительного члена
![]()
Если
Откуда полевая энергия взаимодействия двух гравитационных масс может быть вычислена по формуле

Объем пространства взаимодействия можно в первом приближении оценить по радиусу взаимодействия
r ![]()
Если распределить величину энергии обменного поля на этот объем, то получим плотность эфира ( другого более емкого слова подобрать не удается).
![]()
При взаимодействии вся плотность сосредотачивается в изолированном
, тогда объем туннеля взаимодействия равен ![]()
Плотность энергии в туннеле взаимодействия равна
![]()
Отношение плотности энергии в

Образование новой структура вызывает переход системы взаимодействующих частиц в связанное пространство большего числа измерений и поэтому сопровождается мгновенной скоростью. Пространство квантуется с мгновенной скоростью, так что с этих позиций Ньютон был прав. На следующем этапе взаимодействия происходит перераспределение энергии в
Энергетическая обменная масса, которая более емким словом может трактоваться как эфир, также имеет двойственный характер. При переходе в новое связанное пространство энергия эфира сосредотачивается в туннелях взаимодействия и оказывает сопротивление структурной перестройки. Плотность энергии в
С позиций структуры реального физического пространства, которая описывается оператором гравитационного взаимодействия, плотность массы, заполняющей все пространство материей, соответствует полевой обменной массы
Если космологическая постоянная не равна нулю, то плотность массы материи пустого пространства, создающего гравитационное поле равно, согласно ОТО.
Таким образом, имеется принципиальная возможность произвести оценку физических величин, которые в настоящее время равны:
м*-2,
г/см*3,
эрг/см*3.
Для планет солнечной системы оператор гравитационного взаимодействия записывается в виде
где
Решая уравнение относительно обменной массы в первом приближении получим

Объем физического пространства
Эта плотность материи равна плотности
произведем преобразования и выделим
.

Космологическая постоянная представляет произведение отношения гравитационного радиуса массивного объекта к расстоянию взаимодействия на корень квадратный из отношения гравитационного радиуса второго объекта к расстоянию взаимодействия и деленному на квадрат этого расстояния. Отношение гравитационного радиуса Шварцшильда к расстоянию взаимодействия дает тангенс угла соответственно
с ясной геометрической интерпретацией.
Для Земли имеем данные: масса Земли
г, масса Плутона ![]()
Большая полуось орбиты Земли
Масса солнца
Подставляя эти данные в расчетные формулы, получим
см*-2,
см*-2
г/cм*3,
г/cм*3
Сделаем один из основных выводов расчета. В комплексном пространстве нет сингулярности в принятом в настоящее время понимании. Математически и физически сингулярность есть результат вложения пространств разных размерностей одного в другое. Космологический член и его расчеты через гравитационные радиусы Шварцшильда и введенный оператор взаимодействия характеризуют гравитационное пространство как структурное. В физическом и математическом пространстве
нет точки сингулярности, а есть область более высокой размерности, через которую и происходит гравитационное взаимодействие пространств. Движение энергии гравитационного поля через эти сингулярные области замыкает пространство взаимодействия с образованием новой структуры, большей по величине размерности. Процесс бесконечен…Мини оглавление:
[0], [1.1.1, 1.1.2, 1.1.3, 1.1.4, 1.1.5, 1.1.6, 1.1.7, 1.1.8, 1.2, 1.2.1, 1.2.2, 1.2.2.a, 1.2.2.b, 1.2.2.c, 1.2.2.d, 1.2.2.e, 1.2.2.f, 1.2.2.g, 1.2.2.h, 1.2.3, 1.3.1, 1.3.2, 1.3.3, 1.3.4, 1.3.5, 1.3.6, 1.4.1, 1.4.2, 1.5, 1.6, 1.7.1, 1.7.2, 1.7.3.1, 1.7.3.2, 1.7.3.3, 1.7.4.1, 1.7.4.2, 1.8.1], [2.1, 2.2],[3.1, 3.2, 3.3, 3.4.1, 3.4.2, 3.4.3, 3.4.4, 3.4.5],[4.1, 4.2, 4.3, 4.4],[5.1, 5.1.Рис.52, 5.2, 5.3, 5.4, 5.4.Т1, 5.4.Т2, 5.4.Т3, 5.5.1, 5.5.2, 5.5.3, 5.5.4],[6.1.1, 6.1.2, 6.2.1, 6.2.2, 6.2.3, 6.2.4, 6.2.5, 6.3, 6.4.1, 6.4.2, 6.5.1, 6.5.2],[7.1, 7.2, 7.3, 7.4, 7.5, 7.6, 7.7.1, 7.7.2, 7.8.1, 7.8.2, 7.8.3, 7.9],[8.1, 8.2.1, 8.2.2, 8.3, 8.4, 8.5, 8.6, 8.6.T1, 8.7, 8.8.1, 8.8.2, 8.8.3, 8.9.1, 8.9.2, 8.9.3, 8.10, 8.10.T2, 8.10.T3],[9.1, 9.2, 9.3, Рис.88, 89, 90, 91, 92, 93, 94, 95, 96, 97, 98, 99, 100],[10.1, 10.2, 10.3, 10.4, 10.5, 10.6, 10.7, 10.8, 10.9, 10.10, 10.11, 10.12, 10.13, 10.14, 10.15.1, 10.15.2, 10.16.1, 10.16.2, 10.17, 10.18],[11]
Размещенный материал является электронной версией книги: © В.И.Елисеев, "Введение в методы теории функций пространственного комплексного переменного", изданной Центром научно-технического творчества молодежи Алгоритм. - М.:, НИАТ. - 1990. Шифр Д7-90/83308. в каталоге Государственной публичной научно-технической библиотеки. Сайт действует с 10 августа 1998.
E-mail: mathsru@gmail.com