![]() |
В. И. ЕЛИСЕЕВ ВВЕДЕНИЕ В МЕТОДЫ ТЕОРИИ
ФУНКЦИЙ ПРОСТРАНСТВЕННОГО КОМПЛЕКСНОГО ПЕРЕМЕННОГО |
|
8.7. Оценка результатов расчетов глюонных полей и масс микрочастиц.
Результаты расчета масс микрочастиц сведены в таблицу. Рассмотрим последовательно результаты.
Расчет показал, что в пределах одной кварковой комбинации возможна внутренняя перестройка структуры частицы, которая приводит к изменению массы частицы и ее квантовых характеристик. Например:
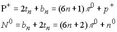
Кварковая система
uud образует четыре микрочастицы: протонКварковая комбинация
uds образует три частицыКварковая комбинация
uss дает три частицы:
.
Резонансы
Резонанс
Глюонное поле кварка обозначено в таблице индексом
kwark. Корректировка глюонного поля в пределах изменения коэффициентов перед направлениями путем их взаимной переброски определяет массу микрочастицы в пределах 3% от экспериментально установленной.Пример,
дает расхождение меньше 3%.

Разработанная система расчета масс частиц дает высокую сходимость с экспериментальными данными – см. таблицу
N. 8.1.Кварковая
комбинация
.
Глюонное поле в такой комбинации дает массу микрочастицы 5148, что без учета экспериментального интервала дает расхождение 4%.
Это доказывает справедливость выбранной системы построения кварка
b и одновременно опровергает гипотезу о кварках как о предельных микрочастицах.Микрочастица есть локальная концентрация энергии, вызывающее изменение структуры пространства в замкнутом объеме. Структура и связность пространства обусловлена комбинацией изолированных направлений на любом уровне измерения. Физика микрочастиц фиксирует структуру микрочастицы квантовыми числами. Установленная связь квантовых чисел со связностью пространства, обусловленной комбинациями изолированных направлений, повторяется на любом уровне измерения.
При выводе формулы энергии связи атомных ядер было введено понятие энергетического циклонного вихря с
В пространстве микрочастиц аналогия повторяется. Масса, спин, энергия связи и т.д. частицы находятся в зависимости или определяются количеством энергетических туннелей в структуре микрочастицы. Скомпенсированные изолированные направления определяют нейтральную массу, которая является составляющей массы частицы. Эта масса в расчетах задается коэффициентом К в формуле
.
Наиболее четко связь между коэффициентом К и количеством изолированных туннелей в структуре микрочастице, образованных взаимодействием фундаментальных масс
Это не противоречит разработанной схеме структуризации и моделей частиц. Об этом неоднократно отмечалось при разработке нейтринного уровня и далее.
Разные кварковые комбинации могут иметь различное число туннелей

Таблицы частиц
Лептоны (
J=1/2)|
Частица |
Масса МэВ |
Время жизни |
Лептонный заряд |
Основные Моды распада |
||
|
|
|
|
||||
|
|
<7*10^-6 |
Стабильно |
+1 |
0 |
0 |
|
|
|
<0.17 |
Стабильно |
0 |
+1 |
0 |
|
|
|
<18 |
Стабильно |
0 |
0 |
+1 |
|
|
|
0,511 |
>4.3*10^23лет |
+1 |
0 |
0 |
|
|
|
105,66 |
2,2*10^-6 с |
0 |
+1 |
0 |
|
|
|
1777 |
2,9*10^-13c |
0 |
0 |
+1 |
Андроны
|
Андроны: Мезоны(
B=0,L=0)|
Частица |
Кварковый состав |
Масса МэВ |
Время жизни в (сек) или ширина |
Спин-четность, изоспин |
Основные моды распада |
|
|
|
139,7 |
2,6*10^-8 |
|
|
|
|
|
134.98 |
8.4*10^-17 |
|
|
|
|
|
494 |
1.2*10^-8 |
|
|
|
|
|
498 |
0.8*10^-10
|
|
|
|
|
|
547 |
1,2 кэВ |
|
|
|
|
|
958 |
0,20 МэВ |
|
|
|
|
|
770 |
151 МэВ |
|
|
|
|
|
782 |
8,4 МэВ |
|
|
|
|
|
1020 |
4,4 МэВ |
|
|
|
|
|
1869 |
|
|
К+другие |
|
|
|
1865 |
|
|
|
|
|
|
1969 |
|
|
|
|
|
|
5279 |
|
|
|
|
|
|
3097 |
87КэВ |
|
Андроны, |
|
|
|
9460 |
53КэВ |
|
|
Андроны: Барионы (В=1,
L=0)|
Частица |
Кварковый состав |
Масса МэВ |
Время жизни в сек или Ширина МэВ |
Спин,четность, изоспин
|
Основные моды распада |
|
p |
uud |
938.27 |
>1031 лет |
|
|
|
n |
ddu |
939.57 |
|
|
|
|
|
uds |
1116 |
2.6*10^-10 |
|
|
|
|
uus |
1189 |
0.80*10^-10 |
|
|
|
|
uds |
1193 |
7.4*10^-20 |
|
|
|
|
dds |
1197 |
1.5*10^-10 |
|
|
|
|
uss |
1315 |
2.9*10^-10 |
|
|
|
|
dss |
1321 |
1.6*10^-10 |
|
|
|
|
SSS |
1672 |
0.82*10^-10 |
|
|
|
|
uuu |
1230-1234 |
115-125 |
|
|
|
|
uud |
||||
|
|
udd |
||||
|
|
ddd |
||||
|
|
uus |
1384 |
36 |
|
|
|
|
uds |
1384 |
|||
|
|
dds |
1387 |
39 |
||
|
|
uss |
1532 |
9.1 |
|
|
|
|
dss |
1535 |
|||
|
|
|
1430-1470 |
250-450 |
|
|
|
|
|||||
|
|
|
1515-1530 |
110-135 |
|
|
|
|
udc |
2285 |
2.0*10^-13 |
|
|
|
|
uuc |
2453 |
|
|
|
|
|
udc |
2454 |
|||
|
|
ddc |
2452 |
|||
|
|
udb |
|
Характеристики кварков
|
Характеристика |
Тип кварка |
|||||
|
d |
u |
s |
c |
b |
T |
|
|
Электрический заряд Q |
-1/3 |
+2/3 |
-1/3 |
+2/3 |
-1/3 |
+2/3 |
|
Барионное число B |
1/3 |
1/3 |
1/3 |
1/3 |
1/3 |
1/3 |
|
Спин J |
1/2 |
1/2 |
1/2 |
1/2 |
1/2 |
1/2 |
|
Четность P |
+1 |
+1 |
+1 |
+1 |
+1 |
+1 |
|
Изоспин I |
1/2 |
1/2 |
0 |
0 |
0 |
0 |
|
Проекция изоспина |
-1/2 |
+1/2 |
0 |
0 |
0 |
0 |
|
Странность S |
0 |
0 |
-1 |
0 |
0 |
0 |
|
Chfrm c |
0 |
0 |
0 |
+1 |
0 |
0 |
|
Bjnnjmnes b |
0 |
0 |
0 |
0 |
-1 |
0 |
|
Topnes t |
0 |
0 |
0 |
0 |
0 |
+1 |
|
Масса в составе андрона, ГэВ |
0,33 |
0,33 |
0,51 |
1,8 |
5 |
180 |
|
Масса свободного кварка ГэВ |
0,007 |
0,005 |
0,15 |
1,3 |
4,1-4,4 |
174 |
Взаимосвязь и взаимопревращаемость элементарных частиц может быть выражена с предсказанием новых кварковых образований и микрочастиц.
Зарядовая сопряженность кварков, введенная в работе и доказанная при исследовании мод распада микрочастиц может быть формализована и дальше

По электрическому заряду комбинация
![]()

Кварковая система может быть продолжена

где
Нейтральный пион равен
Поэтому общая формула для кварков представима в виде

Микрочастица положительного заряда имеет структуру

при
n=0 имеем
в соответствии с модой распада положительного сигма гиперона.
в соответствии с модами распада входящих в эту формулу частиц.
При n=1 имеем
также в соответствии с кварковым составом входящих в формулу частиц.
Мини оглавление:
[0], [1.1.1, 1.1.2, 1.1.3, 1.1.4, 1.1.5, 1.1.6, 1.1.7, 1.1.8, 1.2, 1.2.1, 1.2.2, 1.2.2.a, 1.2.2.b, 1.2.2.c, 1.2.2.d, 1.2.2.e, 1.2.2.f, 1.2.2.g, 1.2.2.h, 1.2.3, 1.3.1, 1.3.2, 1.3.3, 1.3.4, 1.3.5, 1.3.6, 1.4.1, 1.4.2, 1.5, 1.6, 1.7.1, 1.7.2, 1.7.3.1, 1.7.3.2, 1.7.3.3, 1.7.4.1, 1.7.4.2, 1.8.1], [2.1, 2.2],[3.1, 3.2, 3.3, 3.4.1, 3.4.2, 3.4.3, 3.4.4, 3.4.5],[4.1, 4.2, 4.3, 4.4],[5.1, 5.1.Рис.52, 5.2, 5.3, 5.4, 5.4.Т1, 5.4.Т2, 5.4.Т3, 5.5.1, 5.5.2, 5.5.3, 5.5.4],[6.1.1, 6.1.2, 6.2.1, 6.2.2, 6.2.3, 6.2.4, 6.2.5, 6.3, 6.4.1, 6.4.2, 6.5.1, 6.5.2],[7.1, 7.2, 7.3, 7.4, 7.5, 7.6, 7.7.1, 7.7.2, 7.8.1, 7.8.2, 7.8.3, 7.9],[8.1, 8.2.1, 8.2.2, 8.3, 8.4, 8.5, 8.6, 8.6.T1, 8.7, 8.8.1, 8.8.2, 8.8.3, 8.9.1, 8.9.2, 8.9.3, 8.10, 8.10.T2, 8.10.T3],[9.1, 9.2, 9.3, Рис.88, 89, 90, 91, 92, 93, 94, 95, 96, 97, 98, 99, 100],[10.1, 10.2, 10.3, 10.4, 10.5, 10.6, 10.7, 10.8, 10.9, 10.10, 10.11, 10.12, 10.13, 10.14, 10.15.1, 10.15.2, 10.16.1, 10.16.2, 10.17, 10.18],[11]
Размещенный материал является электронной версией книги: © В.И.Елисеев, "Введение в методы теории функций пространственного комплексного переменного", изданной Центром научно-технического творчества молодежи Алгоритм. - М.:, НИАТ. - 1990. Шифр Д7-90/83308. в каталоге Государственной публичной научно-технической библиотеки. Сайт действует с 10 августа 1998.
E-mail: mathsru@gmail.com